Przejdź do nagłówka
Przejdź do zawartości
Przejdź do stopki
A+
A-
PL
☰
Aktualności
Ogłoszenia o zatrudnieniu
Wybory
Biuletyn Informacyjny Urzędu Gminy Solina
Wydarzenia
Oferty Organizacji Pożytku Publicznego
Urząd
Projekty uchwał do konsultacji
Władze gminy
Struktura organizacyjna
Dokumenty do pobrania
Obrona cywilna
Pisma i odpowiedzi
Rada Gminy
Skład Rady Gminy
Uchwały Rady Gminy
Sesje Rady Gminy Solina
Sesja Rady Gminy Solina – transmisja live
Interpelacje
Zamówienia publiczne
Gmina
Sezon kąpielowy 2019
Atrakcje Gminy
Sołectwa
Prawo miejscowe
Gospodarka
Ochrona środowiska
Gospodarka odpadami
Koncepcje i plany
Rewitalizacja
Gmina Solina przyjazna inwestorom
Harmonogram odbioru odpadów komunalnych w 2024 r.
E-Platforma
Aktualności
Ogłoszenia o zatrudnieniu
Wybory
Biuletyn Informacyjny Urzędu Gminy Solina
Wydarzenia
Oferty Organizacji Pożytku Publicznego
Urząd
Projekty uchwał do konsultacji
Władze gminy
Struktura organizacyjna
Dokumenty do pobrania
Obrona cywilna
Pisma i odpowiedzi
Rada Gminy
Skład Rady Gminy
Uchwały Rady Gminy
Sesje Rady Gminy Solina
Sesja Rady Gminy Solina – transmisja live
Interpelacje
Zamówienia publiczne
Gmina
Sezon kąpielowy 2019
Atrakcje Gminy
Sołectwa
Prawo miejscowe
Gospodarka
Ochrona środowiska
Gospodarka odpadami
Koncepcje i plany
Rewitalizacja
Gmina Solina przyjazna inwestorom
Harmonogram odbioru odpadów komunalnych w 2024 r.
E-Platforma
Gmina Solina
Aktualności
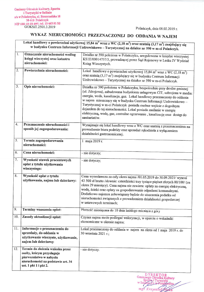
Wykaz nieruchomości przeznaczonej do oddania w najem
Wykaz nieruchomości przeznaczonej do oddania w najem
Pozostałe aktualności
17 marca 2025
Sesja Rady Gminy Solina
Czytaj więcej
24 stycznia 2025
Obwieszczenie Wójta Gminy Solina z dnia 24 stycznia 2025 r.
Czytaj więcej
24 stycznia 2025
Informacja Dyrektora Zarządu Zlewni w Przemyślu PGW WP z dnia 10 stycznia 2025 r.
Czytaj więcej
23 stycznia 2025
Obwieszczenie Dyrektora Zarządu Zlewni w Przemyślu PGW WP z dnia 15 stycznia 2025 r.
Czytaj więcej
Monitoring środowiska
Godzina po godzinie
Na 16 dni
Stacja Meteorologiczna
›
Kamera w Polańczyku
›
Kamera w Polańczyku z widokiem na Jezioro Solińskie
›
Kamera w Polańczyku – KOZŻ
›
Kamera w Solinie
›
Kamera w Zawozie z widokiem na Polańczyk
›
Kamera w Zawozie
›
Kamera w Wołkowyi
›